與傳統的鐵、銅、鎳等金屬元素相比,鋯具有較低的密度和較小的熱膨脹系數。此外,鋯還具有較低的熱中子吸收截面積(僅為0。18×10-28m2)和良好的耐腐蝕性能,這使得鋯及其合金在核工業以及航空航天等特殊領域具有極廣泛的應用前景[1-3]。目前,鋯及其合金已經較成熟地應用于核反應堆中的包殼材料。與不銹鋼相比,鋯及其合金能夠有效地將中子反射回反應堆內部,極大地節省了鈾燃料;而鋯合金在300~400℃的高溫高壓水蒸汽中具有的良好耐腐蝕性能,也使得反應堆具有了較長的使用壽命。因此,金屬元素鋯被譽為原子時代的第一金屬。隨著我國航空航天、航海及化工事業的不斷發展,合金鋼等傳統材料已經越來越不能適應空間、海洋等特殊環境。近年來,國內外許多科學家已經將目標轉向了鋁基復合材料及鈦合金、鋯合金等輕金屬材料[4-6]。
本文簡要概述了當今鋯合金的發展現狀,并對新型高強韌性鋯合金的成分設計、強化機理及應用進行著重分析。
1、鋯及其合金的發展現狀
鋯在地殼中的含量約為220g/t,儲量超過了銅、鎳、鉛和鈷等常用金屬而居于第20位。我國的鋯礦儲量在世界上排名第9位,是鋯含量分布較為廣泛的國家。早期鋯的提煉技術不成熟,極大地限制了鋯材料的應用。Kroll于1944年成功研究了規模較大的延性鋯的生產方法,使得鋯及其合金得到了迅猛的發展[7]。初期,鋯合金主要應用于核工業領域中的包殼材料[8]。近幾十年來,隨著對鋯合金的研究趨于成熟,鋯及其合金在化工行業、醫用行業及一些特殊領域中也得到廣泛應用。
1.1核用鋯合金
鋯合金以其極低的熱中子吸收截面積和良好的抗高溫高壓腐蝕性能而在核工業中獲得了廣泛的應用,以其為材料生產的零部件包括燃料包殼管、控制棒導向管、壓力管、元件盒以及一些結構材料等。法國、美國、德國及俄羅斯等國家先后研究出了一系列的核用鋯合金。目前,已經成功應用在核工業上的有Zr-2、Zr-4、Zr2。5Nb以及近年來新開發的ZIRLO、E635、M5及NDA等鋯合金[7]。這些新開發的鋯合金具有更低的輻照蠕變性能和較好的抗碘應力腐蝕能力,此外,還能夠滿足燃料組件較高燃耗的要求,使組件的使用壽命提升至30年。近30年來,我國的科研工作者在綜合了ZrSn和ZrNb系合金的優點后,開發出了新型高性能的NZ2和NZ8鋯合金[9-10]。合金的力學性能優于Zr-4合金,用其制備的組件在高溫水和蒸汽中的耐蝕性能得到明顯改善,在550℃過熱蒸汽中進行長期腐蝕后并沒有出現癤狀腐蝕現象[11]。
1.2耐腐蝕鋯合金
鋯具有優異的耐腐蝕性能,能夠抵抗大多數有機酸、無機酸、強堿和一些熔融鹽的腐蝕侵害,因此,腐蝕環境中的一些關鍵部件可使用鋯材來提升使用壽命[12-13]。提升合金件耐腐蝕性能的另一種方法為表面預處理[14]。工業中利用鋯本身具有的高吸氧這一特性,將鋯置于高溫空氣中,使得鋯表面獲取一層致密的氧化膜,從而提升鋯及其合金的耐腐蝕和耐沖刷性能。實驗證明,經過表面氧化處理之后的鋯在硫酸介質中的年腐蝕速率僅為純鋯的5%,而耐沖刷性能卻提高了2倍。
目前,化工行業中已較多的使用鋯作為耐腐蝕材料,并且已成熟應用于熱交換機、洗堤塔、反應器、泵、閥門和腐蝕介質管道等領域[15]。例如,用鋯合金制備出的濃縮管和水解管已成功應用在過氧化氫的生產線中,而鋯制減壓閥、攪拌器和流量計等器件也在化肥生產、污水處理和染料工業中得以應用。耐蝕性鋯合金主要為Zr702、Zr704、Zr705和Zr706合金[16-17]。Zr702合金的成分接近于純鋯,主要加入了少量的O、H和N等元素,其耐蝕性能較高,但力學性能較低,在含FeCl3的硫酸介質中作為化工管道使用。Zr705合金為鋯鈮合金,其力學性能是Zr702合金的2倍,對強度和延伸率要求比較高的化工設備例如柵欄式換熱器等通常使用Zr705合金作為原材料。
生物醫用材料是近年來新興的一種高新技術材料,而生物醫用合金必須與生物體液環境具有良好的相容性以及良好的耐腐蝕性。Ti6Al4V合金是較早應用在人體硬組織的植入鈦合金,但其接近110GPa的彈性模量遠超出了人體自然骨骼15~30GPa的彈性模量[18]。鋯因具有良好的生物相容性、與骨骼類似的彈性模量以及良好的耐蝕性而被科研人員所重視。90年代初,Smith&NephewRichards公司研制出了一種ZrTiNb合金,它不僅彈性模量與人體骨骼相類似,而且具有完全的生物相容性[19-20]。Williams等[21]也證實了ZrTiNb合金在腐蝕和摩擦磨損共同作用條件下的退化程度明顯小于Ti6Al4V合金。隨后,一系列的醫用鋯合金被研發出來,例如ZrNb[22]、ZrMo[23]、ZrCu[24]、ZrMoTi[25]和ZrSi[26]等合金。近年來,科研人員發現α+β雙相和β單相鋯合金與人體肌肉、骨骼和腦組織相容性最佳。此外,β單相合金與α單相合金相比具有較好的耐蝕性及耐磨性,是一種很有前途的外科植入用合金,可以在各種醫療器械和其他的生物醫用材料中使用。
1.3高強韌鋯合金
在空間探測、深海探測以及高速鐵路等領域中,往往存在一些特殊的使用環境,例如-200~200℃的交變溫度環境、持續的空間輻照和結構件之間的相對運動等等。在這些特殊環境下,長期服役的結構件往往面臨著疲勞損傷、尺寸不穩定、原子氧侵蝕和摩擦磨損等問題[25]。目前,應用在這些特殊領域的結構件主要由20Cr、GCr15等合金鋼材料制備,它們往往存在抗輻照性能差、活動構件易損傷、密度大和成本高等問題[27-28]。而鋯及其合金與傳統的合金鋼等材料相比有幾個重要的潛質:1)熱膨脹系數小,尺寸結構穩定,具有制備精密結構部件的潛質;2)具有抗空間輻照損傷的潛質;3)具有抗原子氧侵蝕的潛質[29]。因此,鋯及其合金有望適應特殊領域中的非常規壞境條件,具有作為特殊環境下結構件使用的潛力。而純鋯的抗拉強度較低,只有大約300MPa,不可能直接作為結構件來使用[30]。進行強韌化處理將成為鋯作為結構件使用的重要環節。目前,科研工作者已經研制出了幾種典型的鋯合金,例如ZrTi[31]、ZrCr[32]、ZrB[33-34]、ZrBe[35-36]、ZrAl[37]、ZrTiAl[38]及ZrTiAlV[39]等合金。這些鋯合金的抗拉強度和純鋯相比具有顯著提升,ZrTiAlV合金的抗拉強度甚至超過了1600MPa,具有非常廣闊的應用前景[30]。
2、新型高強韌鋯合金的研究現狀及應用
2.1 新型高強韌鋯合金的設計與制備
純鋯有2種主要的相,密排六方(HCP)的α相(常溫常壓)和體心立方(BBC)的β相(高溫),除此以外還存在著大量的亞穩相[40]。這些具有不同結構的同素異構體是設計新型鋯合金的基礎,因此充分了解不同相的結構及其性質上的差異非常關鍵。研究發現,α相與β相相比具有更加明顯的各向異性(力學與物理性能)、較低的自擴散系數、較好的抗蠕變性能和較高的強度。此外,還可以從電子密度拓撲結構出發,建立鋯基本相的宏觀特性與微觀電子結構的關系,從而為新型高強韌鋯合金的設計提供重要的理論指導。
對于單相無序固溶體型鋯合金,合金元素的添加可以較好地控制相含量及力學性能。通過大量實驗和理論計算系統研究了Ti、Al、V、Cr、C、Sn、Mo的固溶強化效果,結果表明,與Zr具有相似物理化學性質的Ti元素的固溶強化效果最明顯,其他元素固溶強化效果依次為Al、V、C、Cr[7]。
因此,新型高強韌鋯合金應當為Zr-Ti基,并適當加入其他合金元素,然后通過固溶處理對合金進行強化以及控制亞穩β相的形成。對于雙相鋯合金,除了具有相結構的變化之外,還具有豐富的組織形態,因此可以通過組織設計而使性能得到優化[41]。一方面,雙相鋯合金中由α相和β相組成的雙韌相可以保證合金的塑性變形能力;另一方面,不同形態的雙相組織中存在大量的α/β相界面,從而對合金起到顯著的強化作用。為了進一步明確α/β相界面的強化效應以及強度設計方法,在單相無序固溶體強韌化設計的基礎上,結合雙相鋯合金的組織形態、晶粒尺寸、缺陷和相含量等影響因素,建立了雙韌相材料的強度設計Hall-Petch方法[42],其意義在于可以通過調節熱處理工藝控制組織參數,設計獲得所需性能。結合單相固溶體鋯合金強度塑性變化規律、雙韌性相材料的強度設計及Hall-Petch方法已經設計開發出了多種新型高強韌鋯合金材料(部分新型鋯合金如表1所示)[43-48]。與傳統的ZrSn、ZrNb等核用鋯合金相比,新型高強韌鋯合金的強度提升了1~5倍,且能夠保持良好的塑性。

由于鋯合金較高的熔點(1400~1800℃),高溫凝固后的組織將非常粗大且很不均勻,這樣就會導致合金力學性能的急劇惡化。因此,需要通過后續變形再結晶和多種熱處理工藝以調整組織形態并獲取優異的綜合力學性能。組織超細化可以有效提高合金強度,而組織等軸化則能夠使合金具有良好的塑性。因此,超細化和組織等軸化是組織優化的核心。新型鋯合金也繼承了傳統鈦合金的熱變形及熱處理手段(如鍛造、熱軋、退火、固溶時效等)來優化合金的顯微組織。
科研工作者最近開發出了一種新型的鋯合金復合變形熱處理工藝[47],即亞穩β/α″馬氏體相中低溫大塑性變形結合長時間低溫時效復合工藝。圖1所示為通過復合優化技術所獲取的等軸及雙態鋯合金組織。通過組織優化的新型高強韌鋯合金強度可達到1500~1700MPa,并且具有5%~12%的塑性。

如圖2所示,ZrTiAlV合金在經過復合優化技術處理之后,其可在保證一定塑性的前提下抗拉強度可達1600MPa。而經過650℃時效處理之后的ZrTiAlV合金抗拉強度達到1400MPa以上,且延伸率大于12%[49]。新型高強韌鋯合金的開發打破了傳統鋯合金在力學性能方面的限制,極大地擴大了鋯合金的應用范圍。

2.2 新型高強韌鋯合金的強化機理
2.2.1 固溶強化
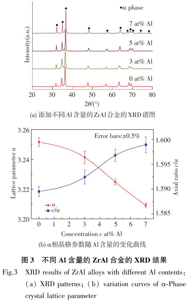
在Zr基體中固溶度較高的有Ti、Al、V、Nb等合金化元素。溶質原子與Zr原子之間的尺寸差會導致Zr基體晶格發生畸變,從而產生固溶強化。此外,添加的合金化元素越多,會導致合金整體的晶格畸變量增加,原子之間的相互作用力隨之增強,鋯合金的固溶強化效果越明顯。圖3所示為添加不同Al含量后ZrAl合金的XRD譜圖,可以觀察到α相的衍射峰逐漸向高角度方向偏移。Al的原子半徑(0.143nm)小于Zr的原子半徑(0.162nm),Al原子固溶進Zr基體后,促使α相的晶格參數a值逐漸減小,而c/a值逐漸增大,從而引發Zr基體的晶格畸變隨Al含量的增加而增大,固溶強化的效果逐漸增強。

2.2.2 第二相強化
B、Be、Cr、C等合金元素在Zr基體中的固溶度較低,主要以第二相的形式存在,進而對合金產生第二相強化。梁順星等[50]通過向Zr合金中添加C元素形成化合物來提升合金的表面硬度并達到了較理想的效果。此外,當溶質原子(如Al、V等)的添加量低于β相的固溶度而高于α相的固溶度時,通過固溶處理可以使Zr合金獲取過飽和的高溫相
固溶體,而在隨后的低溫時效處理過程中則會析出化合物發生第二相強化。一般情況下,利用固溶+時效方法獲取的化合物能夠均勻地分布在合金基體中,對Zr合金強度的提升有較大的貢獻。
2.2.3 細晶強化
添加合金元素(如B、Be、Cr和Ti等)或通過合適的熱變形及熱處理手段都可使Zr合金的組織得到細化,進而產生細晶強化作用。圖4為純Zr及添加質量分數1.0%的Be元素后Zr合金的顯微組織圖片[35]。添加Be元素之后合金的顯微組織得到明顯的細化,原因為低固溶度的合金元素能夠促進基體在凝固過程中的形核。此外,景然等[51]證實了降低退火溫度可使Zr合金中α相板條寬度逐漸降低,從而增加合金的強度及硬度。

2.3 新型高強韌鋯合金的應用
2.3.1 核電、化工等領域
新開發的鋯合金同時具有高強韌性、耐輻照和耐腐蝕的優異性能,其抗腐蝕能力明顯優于目前化工行業中常用的合金材料(如不銹鋼和Ti6Al4V等)[52],并已成功推廣應用于含重金屬離子廢水、核工業企業廢水、廢甲醇回收利用、有機廢氣凈化、電子產品生產工業廢水等處理裝置中,替代目前常用的合金材料制作了管道閥門、反應器、傳動構件等數十種產品(如圖5所示),原材料與加工成本雖然略有增加,但使用壽命提高了約3~5倍,有的甚至達到10倍以上。

2.3.2 航空航天業
目前新型高強韌鋯合金已經在空間機構關鍵活動構件上得到應用。經測試,新型高強韌鋯合金比傳統合金鋼具備更好的耐輻照、交變溫度場、空間低溫、超高真空、耐摩擦磨損等能力。例如Zr45Ti5Al3V合金,強度達到1300MPa,斷后延伸率達到9%,基體硬度為HRC42,表面處理后可以達到HRC62,其優異的綜合力學性能,滿足了空間活動構件的要求。在空間環境效應方面進行了一系列測試:1)合金經帶電粒子輻照后進行宏觀力學性能、表面納米硬度和磨損測試,結果顯示其在空間低能質子輻照條件下可以進行可靠服役;2)合金經原子氧暴露后,提高了其表面抗腐蝕和抗劃擦能力;3)對其進行2~8km/s的微小碎片累積高速撞擊實驗,撞擊后合金產生明顯的塑性變形,并在高溫下完成旋轉動態再結晶過程,發生表面硬化,增強了其抵抗空間微小碎片累積撞擊的能力;4)在-100℃的低溫條件下進行拉伸實驗,其抗拉強度為1720MPa,塑性雖有所降低,但仍保持在4%左右;5)在-100~100℃條件下,該合金組織結構幾乎不發生變化,強度沒有改變,同時在該溫度范圍內熱膨脹系數為6.7×10-6K-1,約為鋼的1/2,確保了活動機構件的高精度運行。總之,在空間帶電粒子輻照、空間原子氧侵蝕、低溫等耦合作用下,該高強韌鋯合金構件仍可以進行可靠服役。目前已經制備出一系列空間機構關鍵活動構件,既拓寬了鋯合金的應用范圍,又突破了空間活動機構的選材局限性。圖6為鋯合金在某空間操作機構中的角形滑道器,該部件的使用不僅能使活動構件整體質量降低16%,而且還提升了機構整體的精度。

3、結語
根據現有的研究,鋯合金已經廣泛應用于國民經濟、國防建設的許多領域,特別是在核工業和化工生產中具有十分重要的用途。然而,由于鋯合金較差的力學性能,造成其應用范圍較窄,應用效果還不深入。目前在高強韌鋯合金方面的研究還處于發展階段,但高強韌鋯合金已經表現出優異的綜合性能和巨大的應用潛力。因此,科研工作者應進一步加強高強韌鋯合金技術研究并強化其應用,這對加快我國工業化發展過程具有重要意義。
3、結語
根據現有的研究,鋯合金已經廣泛應用于國民經濟、國防建設的許多領域,特別是在核工業和化工生產中具有十分重要的用途。然而,由于鋯合金較差的力學性能,造成其應用范圍較窄,應用效果還不深入。目前在高強韌鋯合金方面的研究還處于發展階段,但高強韌鋯合金已經表現出優異的綜合性能和巨大的應用潛力。因此,科研工作者應進一步加強高強韌鋯合金技術研究并強化其應用,這對加快我國工業化發展過程具有重要意義。
參考文獻:
[1]GLOAGUEND,FRAN?OISM,GUILLENR,etal.EvolutionofinternalstressesinrolledZr702α[J].ActaMaterialia,2002,50(4):871-880.
[2]BAYKOVVI,PEREZRJ,KORZHAVYIPA,etal.StructuralstabilityofintermetallicphasesintheZr-Snsystem[J].ScriptaMaterialia,2006,55:485-488.
[3]王旭峰,李中奎,周軍,等.鋯合金在核工業中的應用及研究進展[J].熱加工工藝,2012,41(2):71-74.
WANGXufeng,LIZhongkui,ZHOUJun,etal.Applicationandresearchprogressofzirconiumalloyinnuclearindustry[J].HotWorkingTechnology,2012,41(2):71-74.DOI:10.14158/j.cnki.1001-3814.2012.02.001
[4]LIUCY,QUB,MAZY,etal.Recrystallization,precipitation,andresultantmechanicalpropertiesofrolledAl-Znalloyafteraging[J].MaterialsScienceandEngineering:A,2016,657:284-290.
[5]WANGXH,INOUEA,KONGFL,etal.InfluenceofejectiontemperatureonstructureandglasstransitionbehaviorforZr-basedrapidlyquencheddisorderedalloys[J].ActaMaterialia,2016,116:370-381.
[6]XUW,BRANDTM,SUNS,etal.AdditivemanufacturingofstrongandductileTi-6Al-4Vbyselectivelasermeltingviainsitumartensitedecomposition[J].ActaMaterialia,2015,85:74-84.
[7]劉建章.核結構材料[M].北京:化學工業出版社,2007. LIUJianzhang.NuclearStructuralMaterials[M].Beijing:ChemicalIndustryPress,2007.
[8]RICKOVERHG,GEIGERLD,LUSTMANB.Historyofdevelopmentofzirconiumalloysforuseinnuclearpowerreactors[R].UnitedStatesEnergyResearchandDevelopmentAdministrationNR:D,1975
[9]章海霞,李中奎,許并社,等.α-Zr基體顯微組織對新鋯合金氧化膜的形成及其耐腐蝕性能的影響[J].功能材料,2014,45(8):8062-8066.
ZHANGHaixia,LIZhongkui,XUBingshe,etal.Theeffectofα-Zrmatrixmicrostructureontheformationofoxidefilmandthecorrosionresistance ofnewzirconiumalloys[J].FunctionalMaterial,2014,45(8):8062-8066.DOI:10.3969/j.issn.1001—9731.2014.08.013
[10]李中奎,劉建章,周廉,等.新鋯合金耐蝕性能研究[J].原子能科學技術,2003,37(增刊1):84-87.
LIZhongkui,LIUJianzhang,ZHOULian,etal.Researchoncorrosionresistanceforzirconium-basedalloys[J].AtomicEnergyScienceandTechnology,2003,37(Suppl1):84-87.
[11]鮑一晨,張樂福,朱發文.Zr-2.5Nb合金在500℃,25MPa超臨界水中的腐蝕行為[J].腐蝕科學與防護技術,2013,25(5):398-401.
BAOYichen,ZHANGLefu,ZHUFawen.CorrosionbehaviorofZr-2.5Nballoyinsupercriticalwaterat500℃by25MPa[J].CorrosionScienceand ProtectionTechnology,2013,25(5):398-401.
[12]韓繼秋.鋯金屬及其在化工耐蝕設備領域中的應用[J].煤礦現代化,2004(3):47-48.
HANJiqiu.Nuclearzirconiummetalanditsapplicationinthefieldofchemicalcorrosionresistanceequipment[J].CoalMineModernization,2004(3):47-48.DOI:10.13606/j.cnki.37-1205/td.2004.03.025
[13]周耀.鋯和鋯合金在化工設備中的應用[J].化工設計,2003,13(4):19-22.
ZHOUYao.Applicationofzirconiumanditsalloyinchemicalequipment[J].ChemicalEngineeringDesign,2003,13(4):19-22.DOI:10.15910/j.cnki.1007-6247.2003.04.006
[14]吳華,范洪遠,應詩浩,等.表面處理對鋯合金性能的影響[J].金屬熱處理,2006,31(1):17-19.
WUHua,FANHongyuan,YINGShihao,etal.Effectofsurfacetreatmentonthepropertiesofzirconiumalloys[J].HeatTreatmentofMetals,2006,31(1):17-19.DOI:10.3969/j.issn.1007-791X.2014.06.001
[15]余存燁.鋯與鈦耐蝕性比較及應用互補性[J].腐蝕與防護,2007,28(5):223-226.
YUCunye.Comparisonofcorrosionresistanceofzirconiumandtitaniumandtheircomplementarityinapplications[J].Corrosion&Protection,2007,28(5):223-226.DOI:10.3969/j.issn.1005-748X.2007.05.003
[16]郝建民,緱鵬森,郝一鳴,等.鋯合金微弧氧化陶瓷膜結構和耐蝕性的研究[J].熱加工工藝,2013,42(14):126-128.
HAOJianmin,GOUpengsen,HAIYiming,etal.Studyonstructureandcorrosionresistanceofmicro-arcoxidationceramiccoatingonzirconiumalloy[J].HotWorkingTechnology,2013,42(14):126-128.DOI:10.14158/j.cnki.1001-3814.2013.14.059
[17]丁勃.鋯合金的切削加工[J].金屬加工:冷加工,2014(15):49-50.
DINGBo.Cuttingofzirconiumalloys[J].MetalProcessing:ColdWorking,2014(15):49-50.DOI:10.3969/j.issn.1674-1641.2014.15.027
[18]NIINOMIM.Mechanical properties of biomedical titanium alloys [J]. Materials Science and Engineering:A,1998,243(1):231-236.
[19]LONGM,RACKHJ.Titaniumalloysintotaljoint replacement:amaterialsscienceperspective[J]. Biomaterials,1998,19(18):1621-1639.
[20]WANGK.Theuseoftitaniumformedicalapplications intheUSA[J].MaterialsScienceandEngineering: A,1996,213(1):134-137.
[21] KHANMA,WILLIAMSRL,WILLIAMSDF. Conjointcorrosionandwearintitaniumalloys[J]. Biomaterials,1999,20(8):765-772.[22]NIINOMIM,NAKAIM,HIEDAJ.Developmentof newmetallicalloysforbiomedicalapplications[J]. ActaBiomaterialia,2012,8(11):3888-3903.
[23]NOMURAN, OYA K, TANAKA Y, et al. Microstructureandmagneticsusceptibilityofas-cast Zr-Moalloys[J].ActaBiomaterialia,2010,6(3): 1033-1038.
[24]NIEL,ZHANY,LIUH,etal.Insitusynthesizedlow modulusbiomedicalZr-4Cu-xNballoys[J]. MaterialsScienceandEngineering:C,2013,33(8): 5105-5108.
[25]NIEL, ZHAN Y, LIUH, et al. Novel β-type Zr-Mo-Tialloysforbiologicalhardtissuereplacements [J].Materials&Design,2014,53:8-12.
[26]LIC,ZHANY,JIANGW.Zr-Sibiomaterialswith highstrengthandlowelasticmodulus[J].Materials& Design,2011,32(8):4598-4602.
[27]王治國,李臻,屈文濤,等.沖刷時間對20Cr在不 同腐蝕性液固流體中的沖蝕速率影響研究[J].科 學技術與工程,2014,14(36):159-164. WANGZhiguo,LIZhen,QUWentao,etal.Studyon theeffectoferosiontimeonerosioncorrosionratein differentmediumsof20Crsteel[J].ScienceTechnology andEngineering,2014,14(36):159-164. DOI:10.3969/j.issn.1671-1815.2014.36.030
[28]呂一中,王寶順,崔巖,等.SiCp/Al復合材料- GCr15鋼干摩擦磨損行為研究[J].航空材料學報, 2008,28(3):87-92. LVYizhong,WANGBaoshun,CUIYan,etal. FrictionandwearbehaviorofSiCp/AIcompositesdry slidingagainstGCrl5Steel[J].JournalofAeronautical Materials,2008,28(3):87-92. DOI:10.3969/j.issn.1005-5053.2008.03.019
[29]張新宇,馬明臻,梁順興,等.新型鋯合金設計與 強韌化研究進展[J].燕山大學學報,2014,38 (6):471-483. ZHANGXinyu,MAMingzhen,LIANGShunxing,et al.Researchprogressofnewzirconiumalloysdesign andstrengtheningandtoughening[J].Journalof YanshanUniversity,2014,38(6):471-483. DOI:10.3969/j.issn.1007-791X.2014.06.001
[30]LIANGSX,YINLX,MAMZ,etal.Amulti- componentZralloywithcomparablestrengthand higherplasticitythanZr-basedbulkmetallicglasses [J].MaterialsScienceandEngineering:A,2013, 561:13-16.
[31]HSUHC,WUSC,SUNGYC,etal.Thestructure andmechanicalpropertiesofas-castZr-Tialloys[J]. JournalofAlloysandCompounds,2009,488(1): 279-283.
[32]ZHANGZG,FENGZH,JIANGXJ,etal. MicrostructureandtensilepropertiesofnovelZr-Cr binaryalloysprocessedbyhotrolling[J].Materials ScienceandEngineering:A,2016,652:77-83.
[33]XIAC,FENGZ,TANC,etal.Effectofannealingon microstructureandtensilepropertyofanovelZrBalloy [J].MaterialsScienceandEngineering:A,2016, 674:1-8.
[34]DARGUSCHMS,BERMINGHAMMJ,MCDONALD SD,etal.Effectsofborononmicrostructureincast zirconiumalloys[J].JournalofMaterialsResearch, 2010,25(9):1695-1700.
[35]FENGZH,JIANGXJ,ZHOUYK,etal.Influence ofberylliumadditiononthemicrostructuralevolution andmechanicalpropertiesofZralloys[J].Materials &Design,2015,65:890-895.
[36]FENGZ,JIANGX,ZHOUY,etal.Hotdeformation behaviorandtheprocessingmapofZr-1.0Bealloyin singleαphase[J].ProgressinNaturalScience: MaterialsInternational,2015,25(5):496-502.
[37]FECHTHJ,HANG,FUZ,etal.Metastablephase formationintheZr-Albinarysysteminducedby mechanicalalloying[J].JournalofAppliedPhysics, 1990,67(4):1744-1748.
[38]JIANGXJ,ZHOUYK,FENGZH,etal.Influence ofZrcontentonβ-phasestabilityinα-typeTi-Al alloys[J].MaterialsScienceandEngineering:A, 2015,639:407-411.
[39]LIANGSX,FENGXJ,YINLX,etal.Development ofanewβTialloywithlowmodulusandfavorable plasticityforimplantmaterial[J].MaterialsScience andEngineering:C,2016,61:338-343.
[40] TEWARIR,SRIVASTAVAD,DEYGK,etal. Microstructuralevolutioninzirconiumbasedalloys [J]. JournalofNuclearMaterials,2008,383: 153-171.
[41]LIANGSX,YINLX,LIUXY,etal.Microstructure evolutionandmechanicalpropertiesresponseofa TZAV alloy during combined thermomechanical treatments[J].MaterialsScienceandEngineering: A,2014,619:87-94.
[42]LIANGSX, YIN L X, JIANG R J, et al. Strengtheningmechanismoftwo-phasetitaniumalloys withbasketweavemicrostructure[J].JournalofAlloys andCompounds,2014,603:42-47.
[43]XIACQ, JIANG X J, WANG X Y, et al. Microstructureandmechanicalpropertiesofhot-rolled ZrBalloys[J].MaterialsScienceandEngineering: A,2015,628:168-175.
[44]FENGZH,XIACQ,JINGR,etal.Microstructure andmechanicalpropertiesofZrBealloysprocessedby hotrolling[J].MaterialsScienceandEngineering: A,2016,667:286-292.
[45]ZHOUYK, LIANG S X, JING R, et al. Microstructureand tensile properties of hot-rolled Zr50-Ti50binaryalloy[J].MaterialsScienceand Engineering:A,2015,621:259-264.
[46]ZHANGZG,ZHOUYK,JIANGXJ,etal.Anovel Zr-basedalloymicrostructurewithhighstrengthand excellent ductility [J]. Materials Science and Engineering:A,2016,651:370-375.
[47]JIANGXJ,WANGXY,FENGZH,etal.Effectof rollingtemperatureonmicrostructureandmechanical propertiesofaTiZrAlalloy[J].MaterialsScienceand Engineering:A,2015,635:36-42.
[48]LIANGSX,YINLX,LIUXY,etal.Effectsof annealingtreatmentsonmicrostructureandmechanical propertiesoftheZr345Ti35Al33Valloy[J].Materials ScienceandEngineering:A,2013,582:374-378.
[49]LIANGSX,MAMZ,JINGR,etal.Preparationof theZrTiAlValloywithultra-highstrengthandgood ductility[J].MaterialsScienceandEngineering:A, 2012,539:42-47. [50]LIANGSX,YINLX,CHEHW,etal.Existing formsandeffectsofcarbononthesurfacestructureand hardnessofZrTiAlValloyswithvariousZrcontents [J].Materials&Design,2014,55:864-868.
[51]JINGR,LIANGSX,LIUCY,etal.Effectofthe annealingtemperatureonthemicrostructuralevolution andmechanicalpropertiesofTiZrAlValloy[J]. Materials&Design,2013,52:981-986.
[52]XIAC,ZHANG Z, FENG Z, et al. Effect of zirconiumcontentonthemicrostructureandcorrosion behaviorofTi-6Al-4V-xZralloys[J].Corrosion Science,2016,112:687-695.
相關鏈接
- 2023-12-23 鋯棒廠家談鎢鋯合金反應結構材料的研究進展
- 2023-10-13 利泰金屬現貨供應化工用鎳棒 鋯棒 鈦合金棒 材質保證 規格齊全
- 2023-09-23 利泰金屬定制化工艦船用鈦環 TA5鈦棒 鋯棒 庫存充足 批量價優
- 2023-06-19 一站式概述鋯棒鋯板等鋯合金的性能、焊接工藝、應用
- 2023-04-28 現貨供應鈦鉭鈮合金 鉭棒 鎳棒 鋯棒 牌號齊全 支持定制
- 2023-02-21 熱銷醫用化工用鉭棒 鎳棒 鋯棒 材質保證 支持零切
- 2023-02-11 新型高強韌鋯合金發展與鋯棒鋯管等的應用領域
- 2023-02-11 化工冶金領域用鉭棒 鎳棒 鋯棒 規格齊全材質保證
- 2023-02-02 鋯棒鋯絲等鋯合金常用的冶煉工藝概述
- 2023-01-12 定制化工用鉭棒 鎳棒 鋯棒 材質保證

